Structure Elucidation - Embedding the New Metabolite into a Biochemical Environment
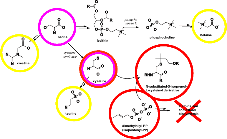
The new metabolite, which is a N-substituted-S-isoprenol-L-cysteinyl derivative, can be embedded into the biochemical environment of significantly change metabolites. The best way of looking at biochemical environements is looking at pathways (if available). The figure shows a simplified version of biochemical pathways. The metabolites marked by yellow circles were significantly up-regulated for dosed animals. It is obvious that these metabolites are all connected to serine and cysteine marked by magenta circles. Interestingly, the new metabolite is synthesized from cysteine and isopentenylphosphate. It is assumed that isopentenyl-phosphate is a scavenger for increased concentrations of cysteine. Thereby, isopentenylphosphate is no longer available for the steroid and cholesterol synthesis. Therefore the steroid synthesis is affected, which was independently assumed by toxicologists and which is known meanwhile. This example demonstrates the power of metabonomics starting with an unbiased profiling of all known and unknown metabolites and ending with a structure elucidation of new unknown metabolites and a biochemical interpretation of the findings.
Biochemical environment in terms of pathways for the new metabolite. Metabolites marked by yellow circles are significantly increased in urine and are all connected to serine and cysteine. The new metabolite is synthesized from cysteine and isopentenyl-phosphate, which is no longer available for the biosynthesis of steroids and cholesterol.