Previous Topic Back Forward Next Topic
Print Page Frank Dieterle
 
Research TutorialsResearch Tutorials MetabonomicsMetabonomics Applications in Drug DevelopmentApplications in Drug Development Structure Elucidation of New BiomarkersStructure Elucidation of New Biomarkers Competitive StudyCompetitive Study HNBC 2D-NMRHNBC 2D-NMR
Home
News
About Me
Ph. D. Thesis
Publications
Research Tutorials
  Metabonomics
    Biology and "-omics"
    Definition of Metabonomics
    Methods
    Applications in Drug Development
      Possiblities and Examples
      Specific Biomarkers
      Patterns of Biomarkers
      Structure Elucidation of New Biomarkers
        Competitive Study
          Metabolite Enrichement
          HNBC 2D-NMR
          Biochemical Interpretation
        Ranking Study
    Acknowledgements
Downloads and Links
Contact
Search
Site Map
Print this Page Print this Page

Structure Elucidation - Metabolite Enrichement (Competitive Study)

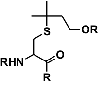
The enrichment of the metabolite of interest allowed more advanced NMR experiments, which need a lot more measurement time compared to metabonomics routine NMR experiments. These experiments allow a structure elucidation by parsing the connectivity of the molecule. In the figure, the most intersting part of the structure elucidation is shown, which was based on a so-called HNBC-experiment. This experiment allows determining direct connections and indirect connections of protons and carbons. The structure elucidation started with the known proton signal at 1.32 ppm. In combination with the shifts of the connected carbon atoms, the structure element could be identified as methyl group. Walking along the cross peaks (walking horizontally and vertically) in the sepectrum allowed walking along the molecular structure and identifying the structure step by step.

HNBC spectrum from a 2D NMR experiment which was used for the structure elucidation of the unknown metabolites. Starting with the known signal at 1.32 ppm, the structure could be determined step by step (similar to walking along the molecular structure).

The structure could be determined as a N-substituted-S-isoprenol-L-cysteinyl derivative. The exact structure cannot be shown here due to proprietary reasons. The main part of the structure is known as felinine in literature. Up to now, felinine derivatives have been found only in urine and plasma of cat species but not in any other species. The function of felinine in cat species is still not clear. On the one hand, It has been discussed that felinine is some type of pheromone. On the other hand, felinine has been discussed in the context of regulation of cholesteol regulation. Interestingly, the biochemical synthesis of felinine can be traced back to an alternative pathway of cholesterol and steroid synthesis. For this metabonomic study, the biochemical synthesis makes sense in the environment of metabolites significantly increased, which is shown in a short version of biochemical pathways on the next page.

Most important structure moiety of the new metabolite. This part of the structure (N-substituted-S-isoprenol-L-cysteinyl derivative) can be traced back to felinine, which has been described only for cat species up to now.

 

 

Page 188 © Frank Dieterle, 03.03.2019 Navigation